• Skip to content
  • Skip to navigation
Logo: Visit the South Hykeham Parish Council home page Logo: Visit the South Hykeham Parish Council home page Print Fallback Logo
  • Sign in
  • Register
  • Menu
  • Search
Categories
  • Council business
  • Parish information
  • Accessibility
  • Cookies
  • Privacy
  • About the Council
  • Accessibility
  • Contact
  • Cookies
  • Privacy
  • 2026 © South Hykeham Parish Council

2024-25 Annual Return

  1. Home
  2. Council business
  3. 2024-25 Annual Return
  • Share on Facebook
  • Share on LinkedIn
  • Share on Twitter
  • 2024-25 Notice of Conclusion of Audit

    • JPG
    • 699kB
    • Download
  • 2024-25 External Auditor's Report and Certificate (Interim)

    • PDF
    • 180kB
    • Download
  • 2024-25 External Auditor's Report and Certificate (Final)

    • PDF
    • 172kB
    • Download
  • 2024-25 Annual Governance Statement

    • PDF
    • 450kB
    • Download
  • 2024-25 AGAR Accounting Statements

    • JPG
    • 1.91MB
    • Download
  • 2024-25 AGAR Guidance Notes

    • JPG
    • 1.67MB
    • Download
  • 2024-25 Asset Register

    • PDF
    • 160kB
    • Download
  • 2024-25 A Summary of Your Rights (Page 1)

    • JPG
    • 1.37MB
    • Download
  • 2024-25 A Summary of Your Rights (Page 2)

    • JPG
    • 1.27MB
    • Download
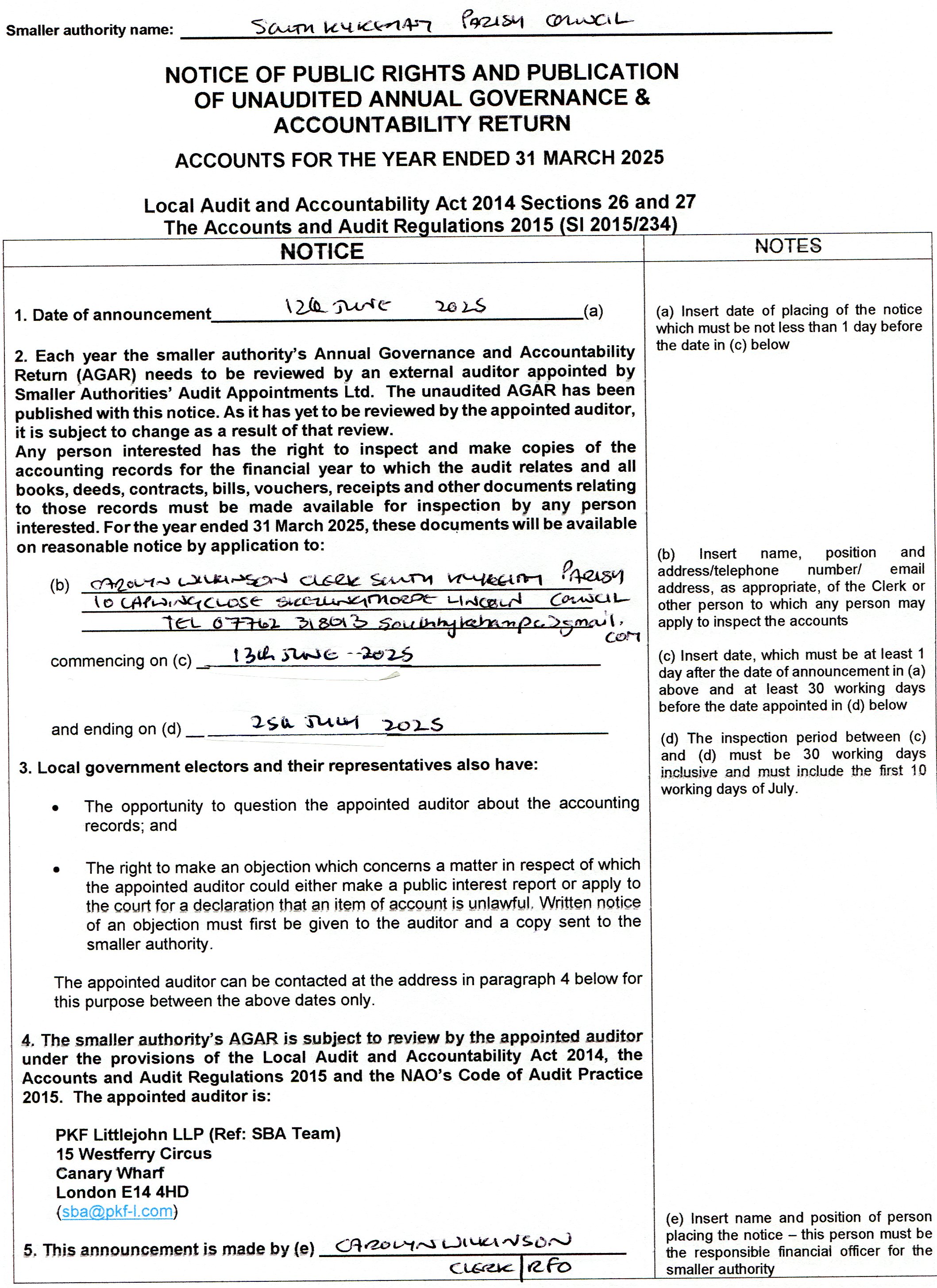
  • 2024-25 Notice of Public Rights

    • JPG
    • 1.11MB
    • Download
  • 2024-25 Bank Reconciliation

    • PDF
    • 56kB
    • Download
  • 2024-25 Budget Report

    • PDF
    • 148kB
    • Download
  • 2024-25 Declaration of Unaudited Accounts

    • JPG
    • 571kB
    • Download
  • 2024-25 Explanation of Variances

    • PDF
    • 138kB
    • Download
  • 2024-25 Internal Auditor's Report

    • JPG
    • 2.02MB
    • Download
  • 2024-25 Review of Effectiveness of Audit

    • PDF
    • 24kB
    • Download
  • 2024-25 AGAR Annual Governance Statement

    • JPG
    • 1.56MB
    • Download
Logo: Visit the South Hykeham Parish Council home page Logo: Visit the South Hykeham Parish Council home page Print Fallback Logo

All content © 2026 South Hykeham Parish Council. All Rights Reserved.

  • About
  • Accessibility
  • Contact
  • Cookies
  • Privacy

Designed and Powered by Jadu.